![]() |
空气过滤器|高效过滤器专题 佰伦空气过滤器已荣获多项国家专利! |
服务热线:181-0266-3890 |
评价任何空气过滤器,最重要的性能指标有四项:
面速和滤速、效率、阻力、容尘量。
除此之外,还有其它一些特性指标,如重量、消耗动力和再生特性等。这些指标主要和滤料以及过滤器的结构有关。
一、面速和滤速
面速是指过滤器断面上通过气流的速度,以m/s表示。
式中:Q——风量(m3/h)
F——过滤器截面积即迎风面积(㎡)
面速反映过滤器的通过能力和安装面积。采用过滤器的面速越大,安装过滤器所需的面积越小。
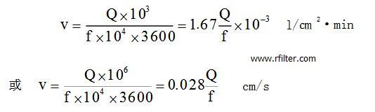
滤速是指滤料面积上的通过气流的速度,以cm/s、L/㎝2·min表示。

式中:f——滤料净面积(即去除粘结等占去的面积),m2。
滤速反映滤料的通过能力,特别是反映滤料的过滤性能。采用的滤速越低,一般说将获得较高的效率。而过滤器允许的滤速越低,说明其滤料性能越差,阻力也大。
在特定的过滤器结构条件下,统一反映面速和滤速的是过滤器的额定风量。在相同的截面积下,希望允许的额定风量越大越好,而在低于额定风量下运行,效率越高,阻力越低。
二、效率
被过滤器除去的大气尘含量与过滤器进口大气尘含量比值的百分数称为过滤器效率。表示效率的方法有计重效率、计数效率等。
1.用过滤器进出口气流中的含尘浓度表示:
式中:G1、G2——过滤器进出口气流中微粒的重量或数量(mg/h或粒/h)
N1、N2——过滤器进出口气流中的含尘浓度(mg/m3或粒/h)
Q——通过过滤器的风量(m3/h或升/h)
这种表示方法对于计重效率和计数效率都可以采用。
2.用进入过滤器前气流中的尘粒含量和过滤器捕集的尘粒量来表示。
G3——过滤器捕集到的尘粒重量(mg/h)
该方法仅在计重效率时采用,有些国家将由此方法求得的η称为除尘率。
3.有过滤器所捕集到的尘粒数量和过滤器出口气流中尘粒的含量来表示。
该方法也用于计重效率。
4.用各粒径的分级效率表示
η=η1 n1+…+ηn nn
式中:η1…ηn——各粒径的分级效率,以小数表示。
n1 …nn——各粒径的微粒的含量占全体微粒的比例,以小数表示。
5.过滤器效率的其它检测方法(《空气调节》p220):
①比色法
②钠焰法
③油雾法
④粒子计数法
三、穿透率
在很多情况下,人们关心的不只是过滤捕集多少尘粒,而是经过过滤器后仍然穿透过来多少尘粒。这时用穿透率(或穿透系数)这一概念更能直接的表示这种结果的程度。在排气净化中用穿透率代替过滤效率。
穿透率用K(%)表示:

例:现有两个过滤器,其过滤效率分别为η1=0.9999,η2=0.9998,求其各自的穿透率。
K1=(1-η1)×100%=0.01% K2=(1-η2)×100%=0.02%
在上述结果中,两个过滤器的过滤效率基本相等,两者之间的差别已没有实在意义。但换算成穿透率之后,则K2 比K1大一倍。也就是说第二个过滤器穿透过来的微粒比第一个过滤器多一倍。
四、净化系数
净化系数KC以穿透率的倒数表示
净化系数表示经过滤器以后微粒降低的程度。K=0.01%时,KC=100/0.01=104
说明过滤器前后的微粒浓度相差一万倍。
从以上内容可以看出穿透率和净化系数同是效率的表现形式。
五、阻力
过滤器阻力由两部分组成:一是滤料的阻力,二是过滤器结构的阻力。
Δp=Δp1+Δp2
=Av+Bun
v——滤速(cm/s)
u——面速(m/s)
空气净化系统的过滤器阻力在系统的总阻力损失中占有相当大的比例,对系统的能耗有重要影响。任何过滤器的阻力均随容尘量的增加而增加。也就是说随着过滤器运行时间的延长,过滤器积尘使阻力逐渐增大。人们习惯把过滤器没有积尘时的阻力称为初阻力,把需要更换时的阻力称为终阻力。为保证系统的风量能保持在正常运行条件,一般取过滤器初阻力的两倍作为终阻力,并按此选择风机。
六、容尘量
在额定风量下,过滤器的阻力达到终阻力时,其所容纳的尘粒总质量称为该过滤器的容尘量。由于滤料的性质不同,粒子的组成、形状、粒径、密度、粘滞性及浓度的不同,因此过滤器的容尘量也有较大的变化范围。
过滤器的容尘量是和使用期限有直接关系的指标。一般将运行中的过滤器终阻力达到初阻力的二倍或效率下降到初始效率的85%以下时(一般对于预过滤器来说)过滤器上沉积的灰尘重量,作为该过滤器的容尘量。(参考高效过滤器:http://nanpi.mhyftah.cn/)
七、过滤器的串联效率
在空气净化系统中,为保证空气的净化效果,过滤器一般都串联使用。其串联后的总效率为:
η=1-(1-η1)(1-η2)…(1-ηn)
或:η=1-P1P2……Pn
同一过滤器采用不同的检测方法其效率值是不同的,因此应特别注意,采用上述公式计算时,必须用同一种方法测定的各过滤器效率值。同时,应考虑经前级过滤后。由于进入次级过滤器的尘粒粒径分布频数的变化对次级过滤器效率的影响。
| 上一篇:公司介绍 | 下一篇:洁净室和高效过滤器的密封技术分类... |