![]() |
空气过滤器|高效过滤器专题 佰伦空气过滤器已荣获多项国家专利! |
服务热线:181-0266-3890 |
前言: 最近大约是放假,因此私信我的人很多?;旧咸岢龅亩际呛妥ㄒ迪喙氐奈侍猓ㄔ褚?,进修,出国和细致的专业问题。我没有全部回复,而是挑选了部分问题做了简短的回答。我的建议如下:对于择业进修出国,甲方乙方等内容,我的三个讲座基本能够回答大家的问题。因此我建议你们先听讲座。如果你听了之后,还有细节问题,请值乎去问我。最主要的是:不要问一些概括性的问题,值乎的问题请明确细节,大而化之的问题我没有办法针对性回答。从以前的值乎我回答的若干问题来看,有专业类问题,如针对变风量系统的一些说明,有行业性问题,如洁净制药行业的某一类设计问题,有读研的具体学校选择问题等等。这些都符合我的要求,明确且细致的问题。请大家提问的话也按照这种方法提问,则可以获得有效而对症的回答。

如下面的问题就不是一个好的问题:
"我马上就要毕业了,不知道想读研还是想工作"。这种问题就不是一个好问题。太广泛。对此请去我的讲座获得结论。
在我的前两篇文章中,我陆续发表了关于洁净度测试和温度测试中的小样本正态分布95%置信区间计算方法和粒子计数器中的泊松分布的应用
制药行业或者说洁净行业本身就是一个小众专业,从业人员本来就不多,并且水平参差不齐。就行业特点而言,制药行业的工艺复杂,并且和HVAC的相关性非常大。这就导致了从业要求高,懂行的人又少。这就导致了中国的GMP行业迟迟无法快速发展,一直跟在欧盟和美国屁股后面。
连标准和规范都是照搬照抄它们的。比如2011年新颁布的GMP标准,就是基本全部抄袭欧盟的GMP标准。特别是其中的厂房和设施这一部分,更是如此。
1.净化车间洁净等级图表如下
我们知道,一般的洁净室等级是这样的

工程中常见的粒子检测项目为检测0.5um和5um两类粒子
我们从这个表格中发现ISO5对应着我们通常所说百级,ISO7对应着通常的万级,而且我们常规的百级或者万级的定义,都是针对0.5um这个级别的粒子的。
即每立方英尺空气中,大于等于0.5um动力学直径的粒子数量不超过100个就是百级,经过换算可得100粒/每立方英尺=3520粒/每立方米=3.52粒/升
同理,我们也可以获得万级的定义为大于等于0.5um动力学直径的粒子数量不超过10000个就是万级,经过换算,我们可以得到10000粒/每立方英尺=352000粒/每立方米=352粒/升
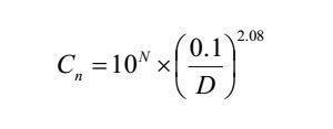
那么我们已经知道0.5um这个级别的粒子数量了,如何知道其他粒子的数量呢?
这里有一个公式来进行计算,如下:

大家可以自行按照此公式计算各种粒子的浓度
笔者注: N为ISO级别,D为某一种粒子的粒径
以上为常见的粒子和洁净度的相关性指标,为电子行业,制药行业,生物研发实验室等所采用
2.制药行业的洁净度等级
在1的基础上,制药行业的洁净度等级又有了进一步的划分,
首先增加了动态和静态的区别
其次增加了对于菌落的检测要求
如下图

对比我们可以发现,制药行业不仅仅关心静态的参数,也关心生产时候的动态参数,包括各个级别的粒子浓度和微生物浓度。显然这在正常洁净等级的要求上,又有了新的要求。
并且对于不同的生产工艺,要求也是不同的。今天先不展开了,等到后面的文章再陆续介绍吧!
3、全球各国高效过滤器检测标准
对于高效过滤器,不同的国家有不同的标准,这里我主要列出美国 欧盟和中国的标准给大家参考
中国标准-钠焰法

美国标准--DOP法或者MPPS法

欧盟标准-MPPS法 EN1882

如果观察的话,我们会发现由于采用了不同的方法,很难进行准确的比较,但是采用近似的比较还是可以的,比如中国的B级别等效于美国的C级别等效于欧盟的H14,由于现在国内主要采用欧盟的标准,因此我把美国标准和欧盟的标准的比较表格放置如下

经过比较我们发现
美标的A级别等效于欧标的H13
美标的C级别等效于欧标的H14
美标的D级别等效于欧标的U15
4.PM2.5和高效过滤器
现在因为雾霾的原因导致越来越多的家庭开始采购室内空气净化器
比如下面这个

不管它的说明书有多花哨,本质就是里面安装了HEPA,一般而言,H13已经完全满足要求了。
当然里面还会有一些初效滤网,活性炭过滤等
如果非常在意家中的空气质量,是可以考虑买一个的!?。?/p>
参考书目
1. ISO14644 1-5
2. EN1822 1-5
3. IEST-RP-CC001.4
4. GB 13554-2008
净化车间洁净等级和高效过滤器检测标准介绍原文链接:http://nanpi.mhyftah.cn/article/20180227181011.html
| 上一篇:公司介绍 | 下一篇:HEPA高效过滤器的通俗介绍(一篇看懂)... |